AI-generated
Guess time 1-12
1
0
By @two time^o^⭐
Follow
Guess time 1-12
1
0
By @two time^o^⭐
schoollife
questions
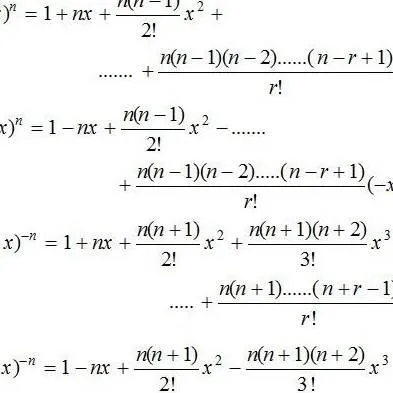
Math
Comments
0
Cancel
Post
No comments yet.
AD
Comments
0No comments yet.